- Même si l'épidémie de Covid-19 stagne en France, l'Inserm prévoit une recrudescence prochaine des hospitalisations.
- Les scénarios envisagent un maintien des mesures existantes, leur durcissement ou leur allègement
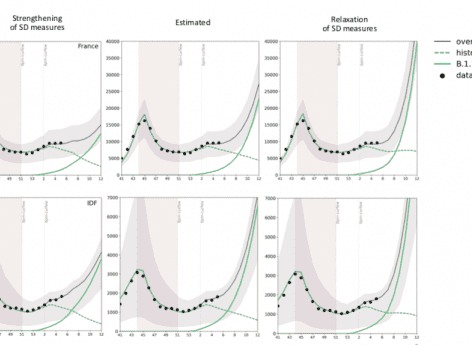
- Dans tous les cas, l'épidémie pourrait connaître un nouveau pic au mois de mars
La Moselle, Dunkerque… Malgré une multiplication des nouveaux foyers de variants sud-africains et britanniques, l’épidémie de Covid-19 recule légèrement ces derniers jours. Une conséquence du renforcement des mesures de distanciation sociale progressivement mis en place en janvier 2021, selon une nouvelle étude de l’Inserm, publiée dimanche 14 février.
"Recul de la souche historique"
"En utilisant un modèle mathématique, nous avons estimé que ces mesures ont conduit à la stabilisation des hospitalisations, résultante d'un équilibre entre le recul de la souche historique (celle en circulation avant l'arrivée du variant ; taux de reproduction effectif estimé <1) et la croissance rapide du variant britannique", analysent les chercheurs.
La suite de l’étude est moins positive. "Le variant britannique est attendu devenir majoritaire fin février-début mars en France, avec une grande hétérogénéité géographique (mi-février en Île-de-France)", poursuivent les scientifiques. Ils ajoutent : "en l'absence de mesures de contrôle renforcées, une croissance rapide des cas est attendue dans les semaines à venir".
Trois scénarios
Les chercheurs ont imaginé trois scénarios, illustrés par les graphiques visibles en haut de cet article. Le premier cas calcule le nombre d’hospitalisations à venir avec des mesures gouvernementales encore plus strictes, le deuxième le nombre d’hospitalisations à venir avec les mêmes restrictions qu'aujourd'hui, et le troisième le nombre d’hospitalisations à venir si le gouvernement assouplit les règles en vigeur. Dans les trois cas, l’épidémie de coronavirus repart à la hausse.
Dans son bilan quotidien de l’épidémie de coronavirus en France, Santé publique France faisait état ce lundi 15 février de 4 376 nouveaux cas, un chiffre plutôt stable par rapport à la semaine dernière. Depuis le début de la campagne de vaccination en France, 2 294 208 premières injections de vaccin (soit 3,5% de la population totale et 4,3% de la population majeure) et 720 249 deuxièmes injections ont été réalisées, selon la DGS.

Les trois scénarios d'évolution du nombre d'hospitalisations dues à la Covid-19, calculés par l'Inserm.


