La progression est inquiétante. Par rapport aux années 1980, les cancers pédiatriques sont 13 % plus fréquents sur la période 2001-2010. C’est le bilan dressé par le Centre international de recherche sur le cancer (CIRC), publié dans la revue The Lancet Oncology. Une estimation internationale qui cache de lourdes inégalités. Car dans les pays défavorisés, le repérage des tumeurs est à la traîne chez les enfants… particulièrement ceux de sexe féminin.
La leucémie en tête
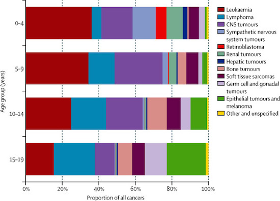
Chaque année, sur un million d’enfants de moins de 15 ans, 140 développent un cancer. Les membres du CIRC se sont penchés sur 300 000 cas diagnostiqués au cours de la première décennie du millénaire. Selon leurs observations, la leucémie reste le cancer le plus fréquemment signalé. Elle représente un cas sur trois. Figurent en deuxième et troisième position les cancers du système nerveux central (20 %) et les lymphomes (12 %).
Mais avant l’âge de 5 ans, les jeunes patients souffrent le plus souvent de tumeurs embryonnaires, qui représentent un tiers des diagnostics. Ce terme générique désigne les cancers de type neuroblastome, rétinoblastome, ou encore néphroblastome, qui reproduisent l’aspect du développement embryonnaire.

La répartition des cancers pédiatriques selon l'âge du diagnostic sur la période 2001-2010 (Source : The Lancet Oncology)
Pour la première fois, le CIRC s’est aussi penché sur les cancers qui touchent les adolescents (15-19 ans), avec environ 185 cas par million et par an. Dans ce groupe, les lymphomes surviennent le plus souvent (23 % des cas), suivi des carcinomes et des mélanomes.
Des inégalités criantes
Les cancers sont davantage diagnostiqués, mais cela ne signifie pas pour autant qu’ils sont plus fréquents. Comme l’explique le CIRC, une partie de l’augmentation est due à l’amélioration des méthodes de repérage. Plus précises, elles permettent aussi une détection plus précoce. L’institution salue aussi la prise de conscience des professionnels de santé, qui se montrent aujourd’hui plus proactifs vis-à-vis des facteurs de risque.
Pour autant, la tendance n’est pas partout à l’amélioration. Dans les pays défavorisés – à la fois sur le plan financier et de l’information – les équipements manquent cruellement, tout comme la prise de conscience. A titre d’exemple, l’incidence du cancer pédiatrique est légèrement plus élevée chez les garçons. Cela pourrait refléter la plus forte propension à consulter un professionnel de santé pour un enfant de sexe masculin.
« Il est très important que nous améliorions, à une échelle mondiale, la surveillance des cancers pédiatriques, et que nous résolvions les écarts régionaux », pointe le Dr Tezer Kutluk, oncologue pédiatrique qui a participé à la rédaction de ce rapport.



