Les infections sexuellement transmissibles (IST) constituent un fléau à l’échelle du globe. Une étude publiée dans la revue PLOS ONE et reprise par l’Organisation Mondiale de la Santé (OMS) estime que la prévalence de quatre des IST les plus répandues, c’est à dire chlamydia, trichomonase, syphilis ou gonorrhée, s’établit à 273 millions de cas.
Basés sur des données de 2012, récoltées par le biais d’une revue de littérature incluant 79 études, les estimations du nombre de nouveaux cas annuel sont particulièrement inquiétantes. Parmi les adultes de 15 à 49 ans, les données suggèrent en effet que 357 millions de nouvelles infections ont lieu tous les ans, soit près d’un million quotidiennement si l’on rajoute les infections par papillomavirus.
Les scientifiques à l’origine de cette publication expliquent que le nombre de nouvelles infections diagnostiquées a régulièrement augmenté depuis 1995.
Or, l’OMS indique que ces nouvelles infections sont plus fréquentes chez les adolescents et les jeunes adultes. 91 % des nouvelles infections ont lieu dans les pays où plus de 80 % de la population est considérée comme jeune, âgée de 15 à 49 ans.
Cela peut avoir un impact à long terme sur leur santé et sur leur fertilité, d’autant que certaines IST, en particulier les infections à chlamydia et la gonorrhée peuvent entraîner la stérilité des femmes. La syphilis est quant à elle transmissible de la mère à son enfant, avec une probabilité plus élevée de décès néonatal ou de malformations congénitales.
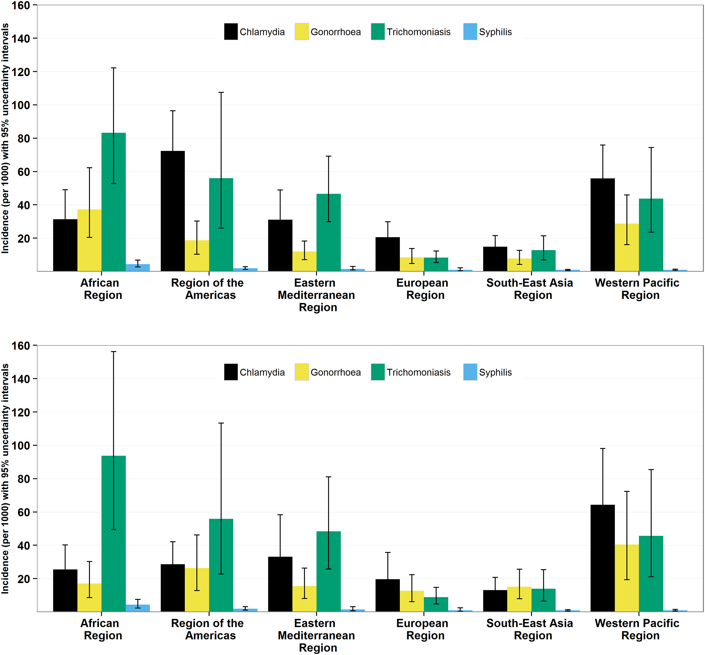
Disparités régionales
Toutes les régions du monde sont concernées par cette flambée d’infections. Toutefois, la prévalence varie d’une maladie à l’autre et d’une région à l’autre. Sur le continent africain par exemple, la prévalence de la syphilis est élevée mais celle des infections par chlamydia est bien moindre que celle rapportée sur le continent américain.
De manière générale, trichomonases et chlamydioses sont plus fréquemment diagnostiquées dans toutes les régions que la syphilis et la gonorrhée. Plusieurs raisons expliquent ce phénomène.
Ces deux maladies sont notamment souvent asymptomatiques chez les femmes, ce qui signifie que de nombreux cas ne sont pas traités à temps. Parce que tous les malades ne sont pas traités de manière adéquate, les personnes sont plus à risque d’être infectée une seconde fois.
Plan de lutte
Au delà de la gravité du bilan, ces données interpellent, car elles soulignent l’inefficacité de nombreuses politiques publiques mises en place au cours des deux dernières décennies.
L’OMS met en place une nouvelle stratégie à l'horizon 2020 pour endiguer le nombre de nouvelles contaminations. Très simplement, il s’agit de continuer à promouvoir la prévention et l’utilisation de préservatifs, mais aussi d’améliorer les outils de diagnostic. En ce qui concerne la gonorrhée, la résistance aux traitements par antibiotiques est un problème de plus en plus répandu, qui complique la prise en charge des patients.
Un objectif crucial de l’OMS est de permettre à toutes les femmes, dans les pays les plus touchés, de se faire tester pour la syphilis. Tout cela passe par une augmentation des investissements, notamment en matière de recherche et développement pour élaborer de nouveaux tests innovants, mais aussi de nouveaux vaccins.


